^Radiation pressure
^Radiation pressure
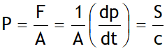
The force exerted by electromagnetic wave on unit area of the surface is called radiation pressure (P). It is defined as 
If an EM wave of energy U incident normally on a surface of area A then the radiation pressure exerted by the EM wave on the surface is

