*Point slope form
*Point slope form
Equation of a straight line having slope m and passing through a point A (x1, y1) is 
2 point form
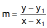
Equation of a straight line passing through two point A (x1, y1) and B (x2, y2) is 
*Point slope form
Equation of a straight line having slope m and passing through a point A (x1, y1) is 
2 point form
Equation of a straight line passing through two point A (x1, y1) and B (x2, y2) is 